SCR电力调整器-----电流容量计算方法
添加时间:2022-08-12 点击次数:672
今天小编主要来给大家分享有关SCR电力调整器-----电流容量计算方法
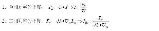
第一:根据功率和电流的关系

第二:负载类型的保险系数
一、 定阻抗负载:
SCR负载总电流容量= 负载额定电流×1.1倍
二、电感性负载、IR灯管负载:
SCR负载总电流容量= 负载额定电流×1.2倍
三、特殊负载:硅碳棒、硅钼棒、石墨等
SCR负载总电流容量= 负载额定电流×1.2倍
第三:实际举例:可控硅电流计算

第四:根据不同的负载对应的SCR电力调整器的选型

第五:推荐使用桦特SCR电力调整器
